In the sesame processing industry, mechanized harvesting has become a key means to improve production efficiency. However, seed damage generated during the mechanized harvesting process directly affects the quality characteristics of subsequent sesame oil and sesame paste. Color, as a core indicator of product sensory quality, not only affects consumers' willingness to purchase but also directly reflects the quality of raw materials and the stability of processing technology. Research shows that mechanical harvesting damage accelerates lipid oxidation during sesame storage, leading to a darker, more yellowish, and reddish color in sesame oil, while sesame paste exhibits a lighter color and increased fluctuations in color difference. Traditional manual sensory evaluation methods are heavily influenced by subjective factors, making it difficult to quantify color differences and unable to meet the requirements for quality consistency in large-scale production. In addition, the color of sesame products is closely related to factors such as roasting degree and storage time, requiring precise detection tools to capture subtle color changes. CHNSpec Technology's CS-821N spectrophotometer adopts the principle of spectral color measurement, which can objectively output color parameters such as L, a, and b, transforming visual perception into quantifiable data. This provides a scientific color control solution for sesame processing enterprises, helping them stabilize product quality and optimize production processes.
I. Objectively quantifying the subtle color differences of sesame oil
In order to objectively and accurately evaluate the color differences of sesame oil, researchers used the CHNSpec Technology CS-821N spectrophotometer. The instrument is based on the colorimetric system recommended by the CIE (International Commission on Illumination). By measuring the spectral data of the sample's reflection or transmission, it calculates the precise value in the color space.
In this study, the CS-821N was used to detect the color parameters of all sesame oil samples. The specific operations are as follows:
1.Sample preparation: Sesame oil samples were made from mechanically harvested sesame and manually harvested sesame with different storage periods respectively.
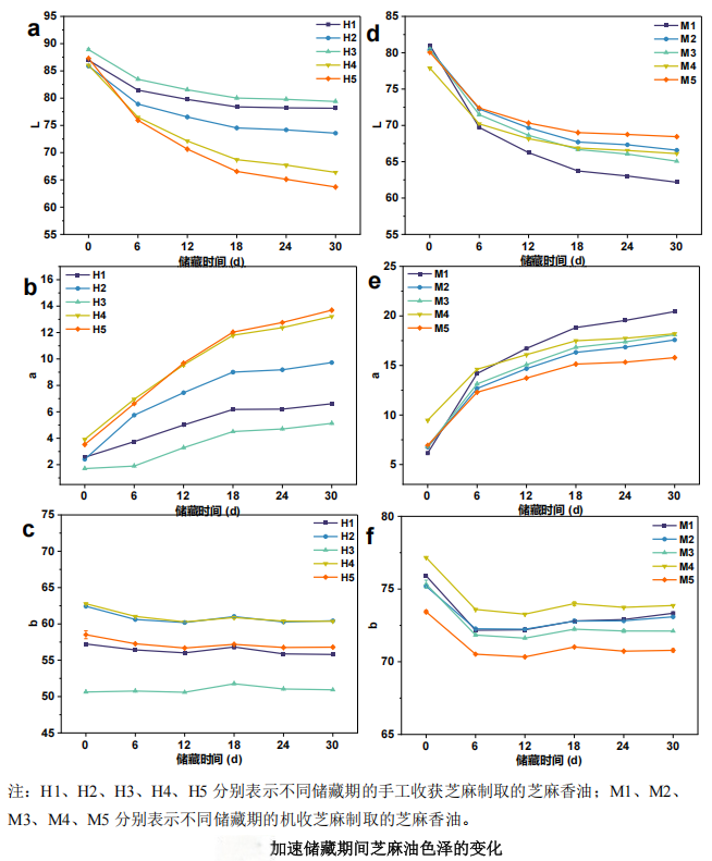
2.Color measurement: Using the CS-821N spectrophotometer under standard light source conditions, the L, a, and b values of each oil sample were measured. Among them:
L value represents lightness; a larger value indicates a whiter and brighter color.
a value represents red-green degree; a positive value indicates a reddish tint, and a negative value indicates a greenish tint.
b value represents yellow-blue degree; a positive value indicates a yellowish tint, and a negative value indicates a bluish tint.
Through this method, researchers obtained precise and repeatable color data, avoiding the subjectivity of naked-eye observation and providing a solid foundation for subsequent data analysis and conclusions.
II. Color change laws revealed by CS-821N
Experimental data clearly revealed the influence of different processing raw materials on the color of sesame oil through the measurement results of the CS-821N:
1.Mechanical harvesting leads to deeper color: Compared with manually harvested sesame, the sesame oil produced from mechanically harvested sesame generally has lower L values and higher a and b values. This indicates that the sesame oil made from mechanically harvested sesame is darker in color and tends toward red and yellow tones. This may be because mechanical harvesting damage leads to the rupture of the sesame seed coat. During the roasting process, the internal sesame kernels can contact heat more directly, resulting in a more sufficient Maillard reaction, thus forming a deeper color.
2.The trend of color change can be quantified: In subsequent accelerated storage experiments, the CS-821N also captured the dynamic changes in the color of sesame oil during the storage process. The L values of all oil samples decreased with the extension of storage time, and the a values increased, manifesting as a further deepening and reddening of the color. The precise values provided by the CS-821N enabled researchers to objectively describe the appearance changes during this oxidation process.
III. Application value
The application of the CHNSpec CS-821N spectrophotometer in the sesame processing industry has realized the transformation of color evaluation from subjective to objective. Through quantified color data, enterprises can precisely control the quality of raw materials, optimize processing technology, and stabilize the quality of finished products, effectively responding to the quality fluctuation challenges brought by the processing of mechanically harvested sesame. The instrument's characteristics of convenient operation and efficient detection adapt to the rapid detection needs of production lines, while the data traceability function provides strong support for corporate quality management.
In the sesame processing industry pursuing quality standardization, the CHNSpec CS-821N spectrophotometer, with its precise detection performance, has become an important tool for enterprises to control the sensory quality of products, helping the industry achieve the dual goals of large-scale production and stable quality.

